A

VENTILAZIONE RESIDENZIALE

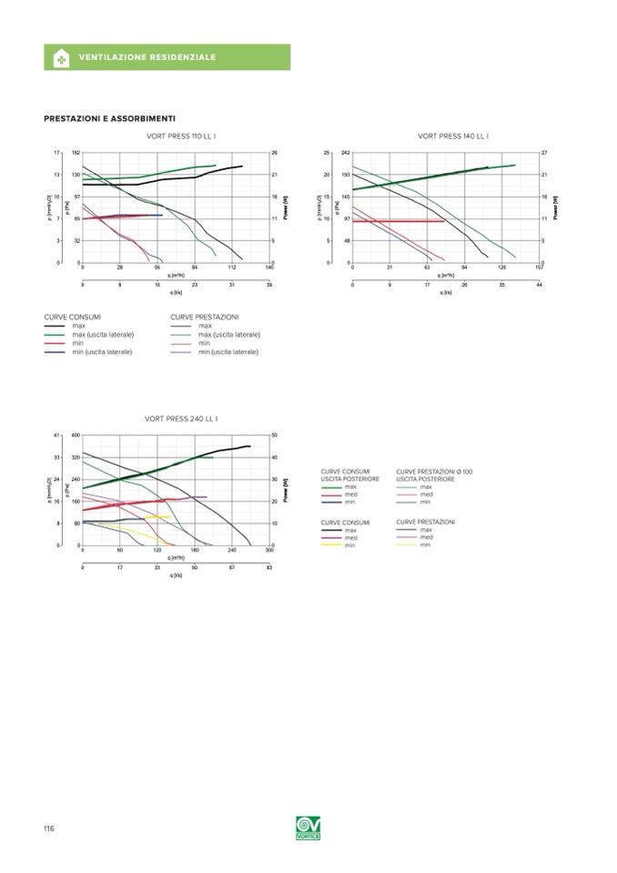
PRESTAZIONI E ASSORBIMENTI

VORT PRESS 110 LL I

VORT PRESS 140 LL I

17

162

26

13

130

21

10

97

16

7

3

65

11

32

5

0

0

0

0

28

56

84

112

140

q [m3/h]

0

8

16

23

31

39

q [l/s]

25

242

27

20

193

21

15

145

16

10

5

97

11

48

5

0

0

0

0

31

63

94

126

157

q [m3/h]

0

9

17

26

35

44

q [l/s]

CURVE CONSUMI

max

max (uscita laterale)

min

min (uscita laterale)

CURVE PRESTAZIONI

max

max (uscita laterale)

min

min (uscita laterale)

VORT PRESS 240 LL I

41

400

50

33

320

40

24

240

30

16

160

20

8

80

10

0

0

0

0

60

120

180

240

300

q [m3/h]

0

17

33

50

67

83

q [l/s]

CURVE CONSUMI

USCITA POSTERIORE

max

med

min

CURVE CONSUMI

max

med

min

CURVE PRESTAZIONI Ø 100

USCITA POSTERIORE

max

med

min

CURVE PRESTAZIONI

max

med

min

116

p

[

m

m

H

2

O

]

p

[

P

a

]

p

[

m

m

H

2

O

]

p

[

P

a

]

P

o

w

e

r

[

W

]

P

o

w

e

r

[

W

]

p

[

m

m

H

2

O

]

p

[

P

a

]

P

o

w

e

r

[

W

]