H / m

80

60

40

20

0

P2 /kW

30

20

10

0

η/%

40

20

0

H / m

100

80

60

40

20

0

P2 /kW

40

20

0

η/%

40

20

H / m

35

30

25

20

15

10

H / m

100

80

60

40

20

0

P2 /kW

20

0

η/%

40

20

0

H / m

120

100

80

60

40

20

0

P2 /kW

40

20

0

η/%

40

40

20

0

40

20

0

0

40

80

120

160

200

240

280

320Q /m3/h

0

40

80

120

160

200

240

280

320

Q / m3/h

1

2

3

4

1 POMPA IN FUNZIONE

2 POMPE IN FUNZIONE

3 POMPE IN FUNZIONE

1

2

3

4

1

2

3

4

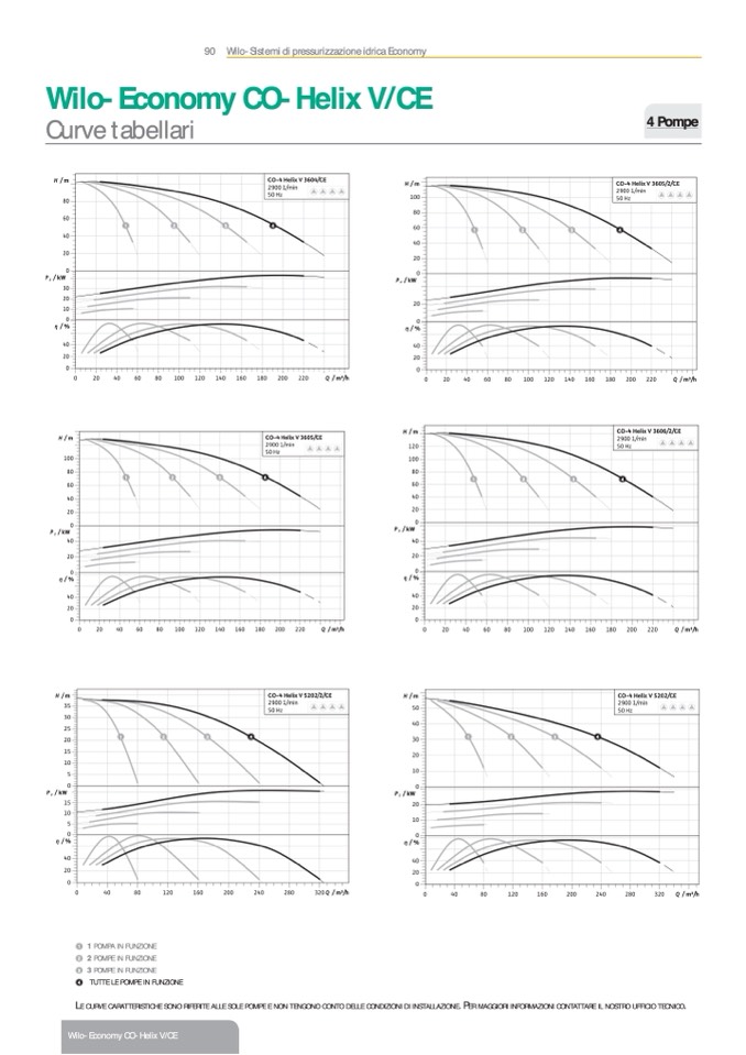
90 Wilo-Sistemi di pressurizzazione idrica Economy

Wilo-Economy CO-Helix V/CE

Curve tabellari

4 Pompe

CO-4 Helix V 3605/2/CE

2900 1/min

50 Hz

1

2

3

4

0

20

40

60

80

100

120

140

160

180

200

220

Q/m3/h

CO-4 Helix V 3606/2/CE

2900 1/min

50 Hz

1

2

3

4

0

20

40

60

80

100

120

140

160

180

200

220

Q/m3/h

CO-4 Helix V 3604/CE

2900 1/min

50 Hz

1

2

3

4

0

20

40

60

80

100

120

140

160

180

200

220

Q/m3/h

CO-4 Helix V 3605/CE

2900 1/min

50 Hz

1

2

3

4

20

0

0

0

20

40

60

80

100

120

140

160

180

200

220

Q/m3/h

5

0

0

P2 /kW

15

10

5

η/%

η/%

10

0

0

CO-4 Helix V 5202/2/CE

H / m

2900 1/min

50 Hz

50

40

30

20

10

CO-4 Helix V 5202/CE

TUTTE LE POMPE IN FUNZIONE

L

E CURVE CARATTERISTICHE SONO RIFERITE ALLE SOLE POMPE E NON TENGONO CONTO DELLE CONDIZIONI DI INSTALLAZIONE

. P

ER MAGGIORI INFORMAZIONI CONTATTARE IL NOSTRO UFFICIO TECNICO

.

Wilo-Economy CO-Helix V/CE

P2 /kW

20

2900 1/min

50 Hz