P2 /kW

15

10

P2 /kW

15

10

1

2

3

4

2900 1/min

50 Hz

35

30

25

20

15

10

5

0

P2 /kW

η/%

40

1

2

3

4

50

40

30

20

10

0

P2 /kW

8

4

0

η/%

40

1

2

3

4

86 Wilo-Sistemi di pressurizzazione idrica Economy

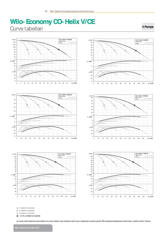
Wilo-Economy CO-Helix V/CE

Curve tabellari

4 Pompe

CO-4 Helix V 1603/CE

2900 1/min

50 Hz

1

2

3

4

0

10

20

30

40

50

60

70

80

90

100

110

Q/m3/h

H / m

140

120

100

80

60

40

20

0

P2 /kW

15

10

5

0

η/%

40

20

H / m

40

30

20

10

0

P2 /kW

8

4

0

η/%

40

20

H / m

80

70

60

50

40

30

20

10

CO-4 Helix V 1015/CE

H / m

20

0

0

0

5

10

15

20

25

30

35

40

45

50

55

60

65

Q/m3/h

CO-4 Helix V 1604/CE

2900 1/min

50 Hz

60

CO-4 Helix V 1605/CE

2900 1/min

50 Hz

20

0

0

0

10

20

30

40

50

60

70

80

90

100

110

Q/m3/h

CO-4 Helix V 1607/CE

0

10

20

30

40

50

60

70

80

90

100

110

Q/m3/h

2900 1/min

50 Hz

80

70

60

1

2

3

4

1

2

3

4

50

40

30

20

10

0

0

5

5

0

0

η/%

η/%

40

40

20

20

0

0

0

10

20

30

40

50

60

70

80

90

100

110

Q/m3/h

1

1 POMPA IN FUNZIONE

2

2 POMPE IN FUNZIONE

3

3 POMPE IN FUNZIONE

4

TUTTE LE POMPE IN FUNZIONE

0

10

20

30

40

50

60

70

80

90

100

110

Q/m3/h

L

E CURVE CARATTERISTICHE SONO RIFERITE ALLE SOLE POMPE E NON TENGONO CONTO DELLE CONDIZIONI DI INSTALLAZIONE

. P

ER MAGGIORI INFORMAZIONI CONTATTARE IL NOSTRO UFFICIO TECNICO

.

Wilo-Economy CO-Helix V/CE

H / m

H / m

CO-4 Helix V 1607/CE

2900 1/min

50 Hz

4

0