P2 /kW

10

1

2

3

1

2

3

�� Wilo-Sistemi di pressurizzazione idrica Economy

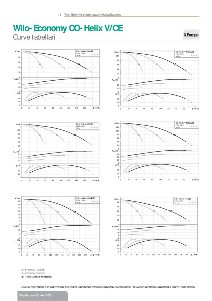
Wilo-Economy CO-Helix V/CE

Curve tabellari

H / m

80

60

40

20

0

P2 /kW

20

10

0

η/%

40

20

0

H / m

100

80

60

40

20

0

P2 /kW

30

20

10

0

η/%

40

20

0

H / m

35

30

25

20

15

10

CO-3 Helix V 3604/CE

3 Pompe

H / m

CO-3 Helix V 3605/2/CE

1

2

3

80

60

1

2

3

40

20

0

P2 /kW

20

10

0

η/%

40

20

0

H / m

CO-3 Helix V 3606/2/CE

2900 1/min

120

50 Hz

100

80

1

2

3

60

40

20

0

P2 /kW

30

20

10

0

η/%

40

20

0

H/m

CO-3 Helix V 5202/CE

0

20

40

60

80

100

120

140

160

Q/m3/h

0

20

40

60

80

100

120

140

160

Q/m3/h

1

2

3

0

20

40

60

80

100

120

140

160

Q/m3/h

0

20

40

60

80

100

120

140

160

Q/m3/h

5

0

0

P2 /kW

15

10

5

η/%

η/%

40

40

20

20

0

0

0

20

40

60

80

100

120

140

160

180

200

220

240Q/m3/h

5

0

0

1

2

3

1 POMPA IN FUNZIONE

2 POMPE IN FUNZIONE

TUTTE LE POMPE IN FUNZIONE

2900 1/min

50 Hz

100

2900 1/min

50 Hz

CO-3 Helix V 3605/CE

2900 1/min

50 Hz

CO-3 Helix V 5202/2/CE

2900 1/min

50 Hz

50

40

30

20

10

2900 1/min

50 Hz

L

E CURVE CARATTERISTICHE SONO RIFERITE ALLE SOLE POMPE E NON TENGONO CONTO DELLE CONDIZIONI DI INSTALLAZIONE

. P

ER MAGGIORI INFORMAZIONI CONTATTARE IL NOSTRO UFFICIO TECNICO

.

Wilo-Economy CO-Helix V/CE

0

20

40

60

80

100

120

140

160

180

200

220

240

Q/m3/h