H/m

40

35

30

25

20

15

10

CO-3 Helix V 605/CE

2900 1/min

50 Hz

H / m

40

30

H/m

70

60

50

40

30

20

10

CO-3 Helix V 609/CE

H / m

2900 1/min

80

CO-3 Helix V 610/CE

2900 1/min

50 Hz

�� Wilo-Sistemi di pressurizzazione idrica Economy

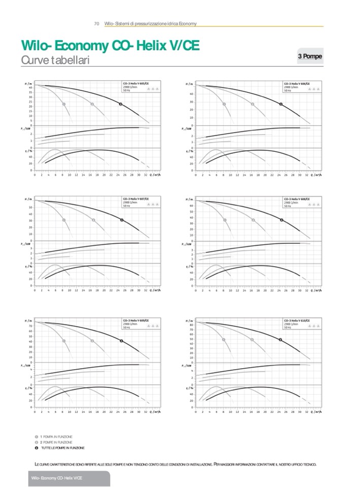
Wilo-Economy CO-Helix V/CE

Curve tabellari

3 Pompe

CO-3 Helix V 606/CE

2900 1/min

50 Hz

1

2

3

1

2

3

20

10

0

0

5

2

1

P2 /kW

η/%

η/%

40

40

20

20

0

0

H/m

50

40

30

20

10

CO-3 Helix V 608/CE

2900 1/min

50 Hz

0

0

0

2

4

6

8

10

12

14

16

18

20

22

24

26

28

30

3

2

Q/m3/h

0

CO-3 Helix V 607/CE

H / m

2900 1/min

50 Hz

60

50

40

2

4

6

8

10

12

14

16

18

20

22

24

26

28

30

3

2

Q/m3/h

1

2

3

1

2

3

30

10

0

0

P2 /kW

η/%

η/%

40

40

20

20

0

0

3

2

1

3

2

1

0

0

4

2

4

2

0

2

4

6

8

10

12

14

16

18

20

22

24

26

28

30

3

2

Q/m3/h

0

2

4

6

8

10

12

14

16

18

20

22

24

26

28

30

3

2

Q/m3/h

1

2

3

1

2

3

0

0

P2 /kW

η/%

η/%

40

40

20

20

0

0

0

0

0

1

2

3

2

4

6

8

10

12

14

16

18

20

22

24

26

28

30

3

2

Q/m3/h

0

1 POMPA IN FUNZIONE

2 POMPE IN FUNZIONE

TUTTE LE POMPE IN FUNZIONE

2

4

6

8

10

12

14

16

18

20

22

24

26

28

30

3

2

Q/m3/h

50 Hz

70

60

50

40

30

20

10

L

E CURVE CARATTERISTICHE SONO RIFERITE ALLE SOLE POMPE E NON TENGONO CONTO DELLE CONDIZIONI DI INSTALLAZIONE

. P

ER MAGGIORI INFORMAZIONI CONTATTARE IL NOSTRO UFFICIO TECNICO

.

Wilo-Economy CO-Helix V/CE

P2 /kW

P2 /kW

P2 /kW

2

1

20