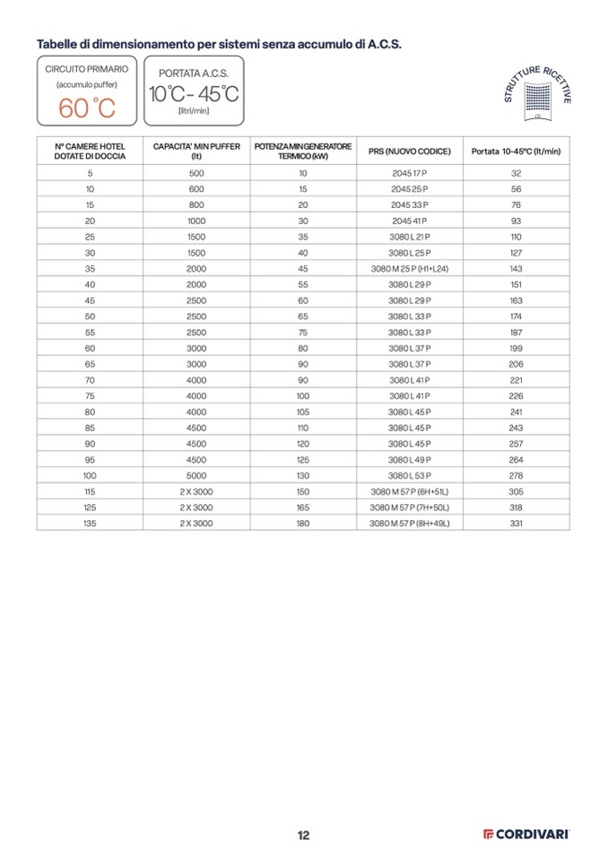
Tabelle di dimensionamento per sistemi senza accumulo di A.C.S.

CIRCUITO PRIMARIO

(accumulo puffer)

60

°

C

5

10

15

20

25

30

35

40

45

50

55

60

65

70

75

80

85

90

95

100

115

125

135

PORTATA A.C.S.

10

°

C- 45

°

C

[litri/min]

500

10

600

15

800

20

1000

30

1500

35

1500

40

2000

45

2000

55

2500

60

2500

65

2500

75

3000

80

3000

90

4000

90

4000

100

4000

105

4500

110

4500

120

4500

125

5000

130

2 X 3000

150

2 X 3000

165

2 X 3000

180

E

12

2045 17 P

32

2045 25 P

56

2045 33 P

76

2045 41 P

93

3080 L 21 P

110

3080 L 25 P

127

3080 M 25 P (H1+L24)

143

3080 L 29 P

151

3080 L 29 P

163

3080 L 33 P

174

3080 L 33 P

187

3080 L 37 P

199

3080 L 37 P

206

3080 L 41 P

221

3080 L 41 P

226

3080 L 45 P

241

3080 L 45 P

243

3080 L 45 P

257

3080 L 49 P

264

3080 L 53 P

278

3080 M 57 P (6H+51L)

305

3080 M 57 P (7H+50L)

318

3080 M 57 P (8H+49L)

331

T

S

E

N° CAMERE HOTEL

DOTATE DI DOCCIA

CAPACITA' MIN PUFFER

(lt)

POTENZA MIN GENERATORE

TERMICO (kW)

PRS (NUOVO CODICE)

Portata 10-45°C (lt/min)