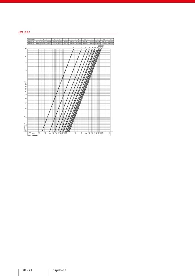
DN 300

DN300

Pre-setting

2

3

4

5

6

7

8

9

10

11

12

13

14

Kv-Value

248,00

411,00

560,00

695,00

825,00

945,00

1045,00

1138,00

1225,00

1290,00

1325,00

1345,00

1380,00

Cv-Value

290,16

480,87

655,20

813,15

965,25

1105,65

1222,65

1331,46

1433,25

1509,30

1550,25

1573,00

1614,60

10 12 14

2

3

4

5

67891113

70 - 71

Capitolo 3

104

Kg/h

2

3

Flow

4 56789105

2

3

4 56789106

2

P

r

e

s

s

u

r

e

d

r

o

p

2

1

0

m

b

a

r

2

3

4

5

6

7

8

9

1

0

2

3

4

5

6