84

80

1000

0

2250

2500

-10°C 90%

-5°C 90%

0°C 90%

+5°C 90%

2250

2500

1000

1250

76

800 1000

1250

600

88

1500

1750

2000

Portata (m3/h)

1500

1750

2000

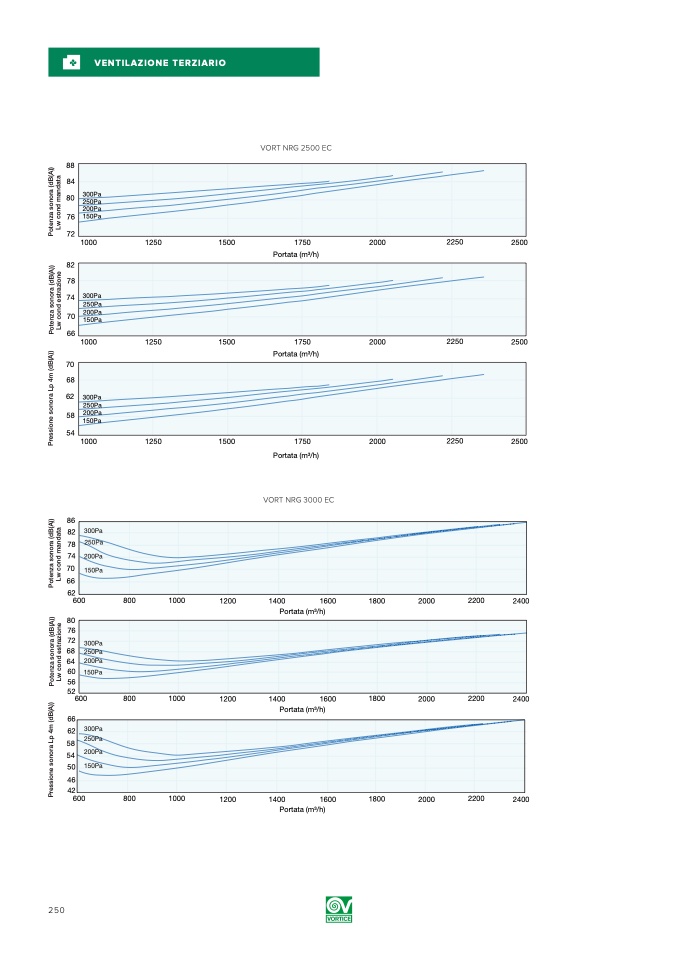
VORPTorNtaRtGa (2m530/h0) EC

300Pa

250Pa

200Pa

150Pa

00

800

1000

12 00

1400

1600

18 00

2000

2200

240

400

84

80

200

76

72

800

1750

2000

Portata (m3/h)

1750

2000

Portata (m3/h)

82

0

6

0

82

1000

1000

1250

1250

1500

1500

Portata (m3/h)

2250

2500

2250

2500

100%

300Pa

250Pa

200Pa

150Pa

700

78

600

74

500

4070

300

66

200

100

70

68

62

98

00

800

1000

12 00

1400

1600

18 00

2000

2200

240

300Pa

250Pa

200Pa

Portat

(m3/h)

-10°C 90%

150Pa

-5°C 90%

0

6

0

58

a

1500

1750

2000

Portata (m3/h)

94

54

90

86

2250

2500

2200

2400

2200

2400

2200

2400

2200

2400

1000

1250

+5°C 90%

78

600

800

86

82

78

74

70

66

62

600

800

80

76

72

68

64

60

56

52

600

800

66

62

58

54

50

46

42

600

800

0°C 90%

1000

1000

1000

1000

1600

1800

2000

1200

1400

VORTPoNrRtaGta3(0m03/0h)EC

300Pa

250Pa

200Pa

150Pa

1200

1400

Portata (m3/h)

1600

1800

2000

300Pa

250Pa

200Pa

150Pa

1200

1400

Portata (m3/h)

1600

1800

2000

300Pa

250Pa

200Pa

150Pa

250

92

88

VENTILAZIONE TERZIARIO

1200

1400

1600

1800

2000

Portata (m3/h)

P

r

e

s

s

i

o

n

e

s

o

n

o

r

a

L

p

4

m

(

d

B

(

A

)

)

P

o

t

e

n

z

a

s

o

n

o

r

a

(

d

B

(

A

)

)

P

o

t

e

n

z

a

s

o

n

o

r

a

(

d

B

(

A

)

)

E

f

f

i

c

i

e

n

z

a

d

i

s

c

P

a

r

m

e

s

b

s

i

o

i

o

(

n

%

e

)

s

-

o

E

n

N

o

r

3

a

0

L

8

p

4

m

(

d

B

P

(

o

A

t

)

e

)

n

z

a

a

P

s

o

s

o

t

e

r

n

b

z

i

t

a

s

p

o

e

n

r

o

v

r

e

a

n

(

t

d

i

l

B

a

t

(

o

A

r

)

e

)

(

W

)

P

o

t

e

n

z

a

s

o

P

n

r

o

e

r

s

a

s

(

i

d

o

B

n

e

(

A

s

)

)

t

a

t

i

c

a

(

E

P

f

a

f

i

)

c

i

e

n

z

a

d

i

s

c

a

m

b

i

o

(

%

)

-

E

N

3

0

8

P

o

t

e

n

z

a

L

w

c

o

n

d

e

s

t

r

a

z

i

o

n

e

L

w

c

o

n

d

m

a

n

d

a

t

a

A

r

i

a

e

s

t

r

a

t

t

a

:

2

0

°

C

/

5

0

%

L

w

c

o

n

d

e

s

t

r

a

z

i

o

n

e

L

w

c

o

n

d

m

a

n

d

a

t

a

A

r

i

a

e

s

t

r

a

t

t

a

:

2

0

°

C

/

5

0

%