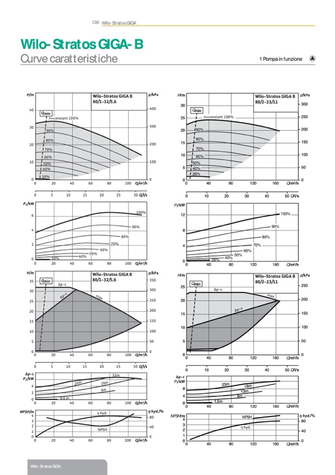
Wilo-Stratos GIGA-B

Curve caratteristiche

H/m

40

30

p/kPa

H/m

1 Pompa in funzione

p����

300

130 Wilo-Stratos GIGA

70%

60%

50%

40%

10%

n=constant 100%

90%

80%

Wilo-Stratos GIGA B

80/1-32/5,6

Qmin

������������ ���� �

����������

Qmin

���������� ����

90%

80%

70%

60%

50%

40%

26%

400

300

30

25

20

15

10

100

20

200

10

100

250

200

150

5

50

0

0

0

0

0

20

40

60

80

100 Q/m3/h

0

40

80

120

0

10

20

30

%

0

40

80

120

160

Q/m3/h

0

5

10

15

20

25

30Q/l/s

P

1

/kW

40

50 Q/l/s

Q/m3/h

100%

90%

80%

70%

1

0%

5

40%

60%

0%

100%

90%

80%

70%

26%

40

60%

50%

P

1

/kW

6

12

4

8

2

0

H/m

35

30

25

20

15

10

0

20

40

60

80

100 Q/m3/h

4

0

H/m

25

160

Wilo-Stratos GIGA B

80/1-32/5,6

Qmin

Δp-c

p/kPa

350

p����

250

200

150

100

50

0

� ����/%

80

40

0

Qmin

����

������������ ���� �

����������

300

250

20

200

150

100

5

0

5

0

20

40

60

80

100 Q/m3/h

0

15

10

5

0

0

0

40

80

0

10

20

0

40

80

0

40

80

120

160

Q/m3/h

0

5

10

15

20

25

30Q/l/s

Δp-c

30

40

50 Q/l/s

32m

0,6 m

1,5m

P

1

/kW

4

2

0

NPSH/m

4

3

2

1

����

P

1

/kW

8

4

100 Q/m3/h

0

η hyd./%

80

NPSH/m

4

3

2

1

0

40

0

20

40

60

80

100 Q/m3/h

0

20

40

60

80

120

160

Q/m3/h

η hyd.

NPSH

NPSH

� ����

0

0

120

160

Q/m3/h

Wilo-Stratos GIGA

Δp-c

����

max.

����

16m

24m

23m

18m

8m

13m

8m