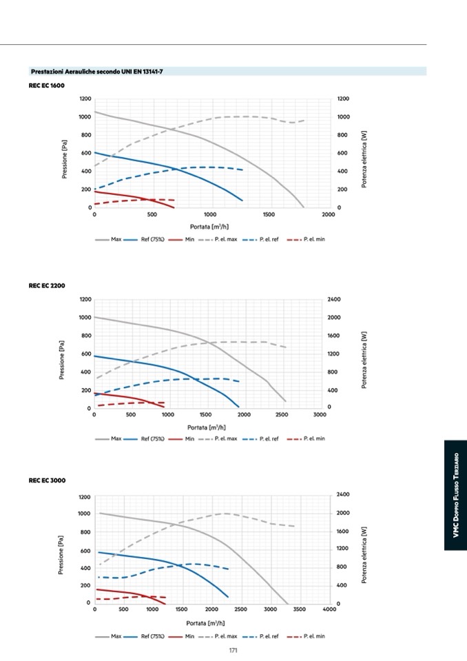
Prestazioni Aerauliche secondo UNI EN 13141-7

REC EC 1600

REC EC 2200

REC EC 3000

1200

1200

1000

1000

800

800

600

600

400

400

200

200

0

0

1200

1000

800

600

400

200

0

1200

1000

800

600

400

200

0

2400

2000

1600

1200

800

400

0

0

500

1000

Portata [m

3

/h]

1500

P. el. ref

2000

P. el. min

0

500

1000

1500

2000

2500

P. el. ref

3000

P. el. min

0

500

1000

1500

2000

2500

3000

3500

4000

2400

2000

1600

1200

800

400

0

Max

Ref (75%)

Min

P. el. max

Max

Ref (75%)

Min

P. el. max

Max

Ref (75%)

Min

P. el. max

P. el. ref

P. el. min

Portata [m

3

/h]

Portata [m

3

/h]

171

P

r

e

s

s

i

o

n

e

[

P

a

]

P

r

e

s

s

i

o

n

e

[

P

a

]

P

r

e

s

s

i

o

n

e

[

P

a

]

P

o

t

e

n

z

a

e

l

e

t

t

r

i

c

a

[

W

]

P

o

t

e

n

z

a

e

l

e

t

t

r

i

c

a

[

W

]

P

o

t

e

n

z

a

e

l

e

t

t

r

i

c

a

[

W

]

V

M

C

D

o

p

p

i

o

F

l

u

s

s

o

T

e

r

z

i

a

r

i

o