68

Pompe in-line a motore ventilato elettroniche

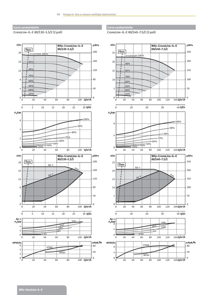
Curve caratteristiche

CronoLine-IL-E 80/130-5,5/2 (2 poli)

H/m

20

200

16

160

12

120

8

80

Curve caratteristiche

CronoLine-IL-E 80/140-7,5/2 (2 poli)

Qmin

n=constant 100%

90%

80%

Wilo-CronoLine-IL-E

80/130-5,5/2

70%

60%

50%

40%

25%

Qmin

n=constant 100

90%

80%

70%

%

Wilo-CronoLine-IL-E

80/140-7,5/2

60%

50%

40%

25%

p/kPa

H/m

p/kPa

25

250

20

200

15

150

10

100

4

P

1

/kW

6

0

20

40

60

80

100 Q/m3/h

0

5

10

15

20

25

30Q/l/s

0

0

20

40

10

60

80

100

120

140Q/m3/h

40Q/l/s

4

0

5

50

0

0

0

0

20

30

100%

90%

80%

70%

25%

50

40%

60%

%

100%

90%

80%

2

5%

4

0%

50%

70%

60%

P

1

/kW

8

4

2

0

0

0

20

40

60

80

100 Q/m3/h

4

p/kPa

H/m

200

25

160

20

120

15

80

10

0

20

40

60

80

100

120

140Q/m3/h

Qmin

Δp-c

Wilo-CronoLine-IL-E

80/130-5,5/2

Qmin

Δp-c

Wilo-CronoLine-IL-E

80/140-7,5/2

H/m

20

16

12

8

4

0

5

1

0

1

5

2

0

2

5

30Q/l/s

0

Δp-c

Δp-c

P

1

/kW

P

1

/kW

8

4

2

0

0

p/kPa

250

200

150

100

4

0

5

50

0

0

0

0

0

20

40

60

80

10

0

Q/m3/h

0

20

40

60

80

100

120

140Q/m3/h

10

20

30

40 Q/l/s

4

0

20

40

60

80

100 Q/m3/h

0

20

40

60

80

100

120

140Q/m3/h

η hyd.

NPSH

η hyd.

NPSH

NPSH/m

4

η hyd./%

NPSH/m

6

8

0

8

η hyd./%

80

4

0

4

0

0

0

0

40

2

0

20

40

60

80

100 Q/m3/h

0

20

40

60

80

100

120

140Q/m3/h

Wilo-VeroLine-IL-E

max.

Δp-v

max.

Δp-v

max.

14m

16m

11m

10m

6m

max.

6m

1,5m

1,5m