44 Pompe in-line a motore ventilato elettroniche

Curve caratteristiche

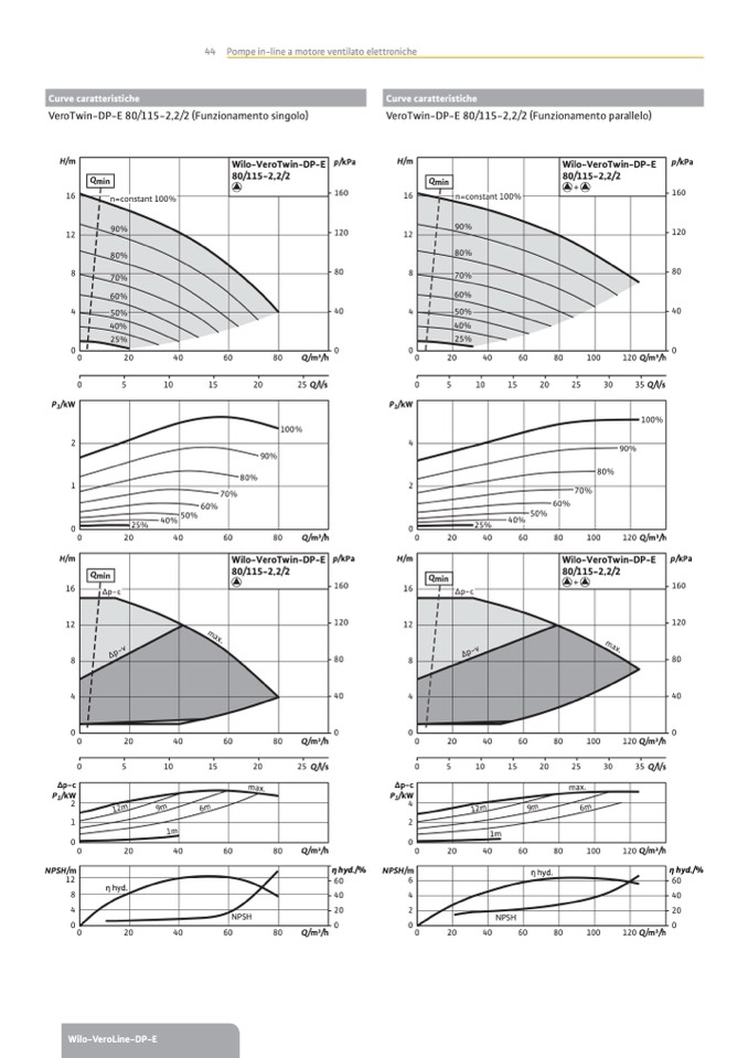
VeroTwin-DP-E 80/115-2,2/2 (Funzionamento singolo)

H/m

Curve caratteristiche

VeroTwin-DP-E 80/115-2,2/2 (Funzionamento parallelo)

p/kPa

H/m

p/kPa

Qmin

n=co

90%

80%

70%

60%

50%

40%

25%

nstant 100%

Wilo-VeroTwin-DP-E

80/115-2,2/2

X

Qmin

Wilo-VeroTwin-DP-E

80/115-2,2/2

Y

n=constant 100%

90%

80%

70%

60%

50%

40%

25%

16

160

16

160

120

12

120

8

8

0

8

80

4

4

0

4

40

0

0

0

0

12

0

0

20

5

40

60

80

Q/m3/h

25Q/l/s

0

20

40

60

80

100

120 Q/m3/h

0

5

10

15

20

25

30

35Q/l/s

10

15

20

100%

90%

80%

25%

40%

70%

60%

50%

100%

90%

80%

25

40%

70%

60%

50%

P

1

/kW

2

4

1

2

0

0

P

1

/kW

0

20

40

60

8

0

Q/m3/h

0

20

%

40

60

80

100

120 Q/m3/h

Qmin

Wilo-VeroTwin-DP-E

80/115-2,2/2

X

Δp-c

Qmin

Δp-c

Wilo-VeroTwin-DP-E

80/115-2,2/2

Y

H/m

16

p/kPa

H/m

160

16

p/kPa

160

120

12

8

0

8

4

0

4

0

0

0

0

12

8

4

Δp-c

P

1

/kW

1

2

0

0

120

80

40

0

0

20

5

40

60

80

Q/m3/h

25Q/l/s

0

20

40

60

80

100

120 Q/m3/h

0

5

10

15

20

25

30

35Q/l/s

10

15

20

Δp-c

P

1

/kW

2

4

0

20

40

60

8

0

Q/m3/h

0

20

40

60

80

100

120 Q/m3/h

η hyd.

NPSH

η hyd.

NPSH

NPSH/m

12

η hyd./%

NPSH/m

60

6

η hyd./%

60

40

20

8

4

0

4

4

2

0

2

0

0

0

0

0

20

40

60

80

Q/m3/h

0

20

40

60

80

100

120 Q/m3/h

Wilo-VeroLine-DP-E

m

a

x

.

max.

Δp-v

Δp-v

max.

max.

6m

9m

9m

6m

12m

12m

1m

1m