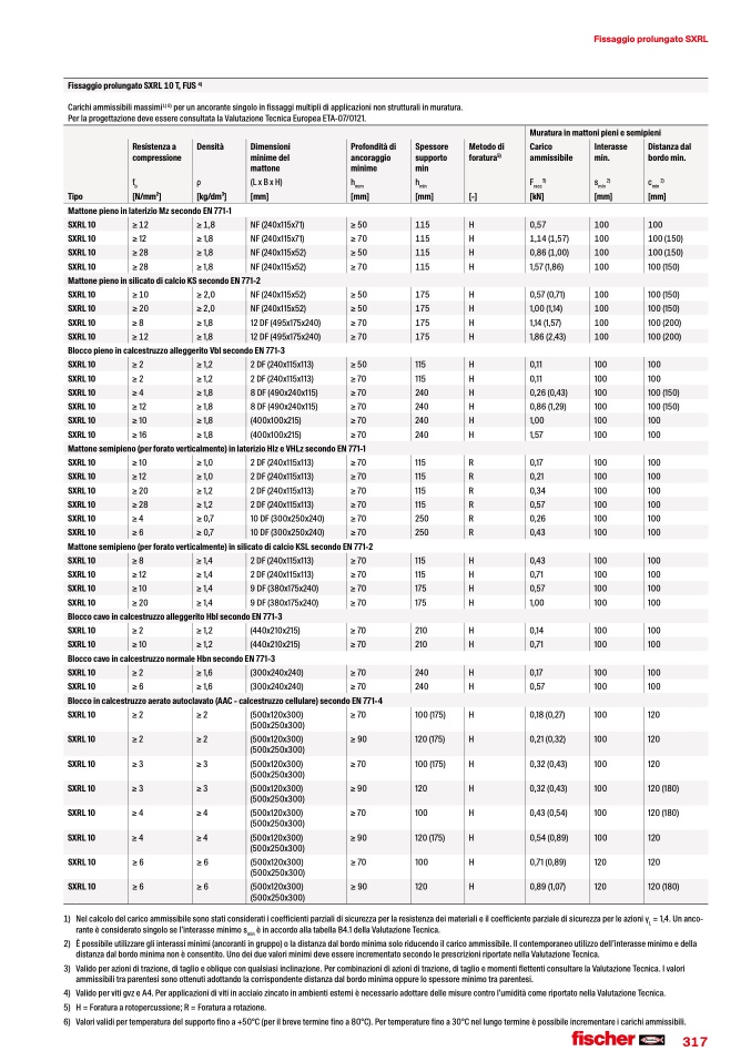
Fissaggio prolungato SXRL

Fissaggio prolungato SXRL 10 T, FUS

4)

Carichi ammissibili massimi

1) 6)

per un ancorante singolo in fissaggi multipli di applicazioni non strutturali in muratura.

Per la progettazione deve essere consultata la Valutazione Tecnica Europea ETA-07/0121.

Muratura in mattoni pieni e semipieni

Resistenza a

compressione

Densità

Dimensioni

minime del

mattone

Profondità di

ancoraggio

minime

Spessore

supporto

min

Metodo di

foratura

5)

Carico

ammissibile

Interasse

min.

Distanza dal

bordo min.

f

b

ρ

(L x B x H)

h

nom

h

min

F

3)

racc

s

2)

min

c

2)

min

Tipo

[N/mm2]

[kg/dm3]

[mm]

[mm]

[mm]

[-]

[kN]

[mm]

[mm]

Mattone pieno in laterizio Mz secondo EN 771-1

SXRL 10

≥ 12

≥ 1,8

NF (240x115x71)

SXRL 10

≥ 28

≥ 1,8

NF (240x115x52)

Mattone pieno in silicato di calcio KS secondo EN 771-2

SXRL 10

≥ 10

≥ 2,0

NF (240x115x52)

SXRL 10

≥ 8

≥ 1,8

12 DF (495x175x240)

Blocco pieno in calcestruzzo alleggerito Vbl secondo EN 771-3

≥ 70

≥ 70

≥ 50

≥ 70

115

H

115

H

175

H

175

H

115

H

240

H

240

H

115

R

115

R

250

R

115

H

175

H

210

H

240

H

100 (175)

H

100 (175)

H

100

H

100

H

1,14 (1,57)

100

1,57 (1,86)

100

0,57 (0,71)

100

1,14 (1,57)

100

0,11

100

0,86 (1,29)

100

1,57

100

0,17

100

0,34

100

0,26

100

0,71

100

1,00

100

0,14

100

0,57

100

0,18 (0,27)

100

0,32 (0,43)

100

0,43 (0,54)

100

0,71 (0,89)

120

100 (150)

100 (150)

100 (150)

100 (200)

100

100 (150)

100

100

100

100

100

100

100

100

120

120

120 (180)

120

SXRL 10

≥ 12

≥ 1,8

NF (240x115x71)

≥ 50

115

H

0,57

100

100

SXRL 10

≥28

≥ 1,8

NF (240x115x52)

≥ 50

115

H

0,86 (1,00)

100

100 (150)

SXRL 10

≥ 20

≥2,0

NF (240x115x52)

≥ 50

175

H

1,00 (1,14)

100

100 (150)

SXRL 10

≥ 12

≥ 1,8

12 DF (495x175x240)

≥ 70

175

H

1,86 (2,43)

100

100 (200)

SXRL 10

≥2

≥1,2

2 DF (240x115x113)

≥50

115

H

0,11

100

100

SXRL10

≥2

SXRL 10

≥12

≥1,2

2DF(240x115x113)

≥ 1,8

8 DF (490x240x115)

≥ 1,8

(400x100x215)

≥70

≥70

≥70

≥ 70

≥ 70

≥ 70

SXRL 10

≥4

≥ 1,8

8 DF (490x240x115)

≥70

240

H

0,26 (0,43)

100

100 (150)

SXRL 10

≥10

≥ 1,8

(400x100x215)

≥70

240

H

1,00

100

100

SXRL 10

≥16

Mattone semipieno (per forato verticalmente) in laterizio Hlz e VHLz secondo EN 771-1

SXRL 10

≥ 10

SXRL 10

≥ 20

SXRL 10

≥ 4

Mattone semipieno (per forato verticalmente) in silicato di calcio KSL secondo EN 771-2

≥ 1,0

≥ 1,2

≥ 0,7

2 DF (240x115x113)

2 DF (240x115x113)

10 DF (300x250x240)

SXRL 10

≥12

≥ 1,0

2 DF (240x115x113)

≥70

115

R

0,21

100

100

SXRL 10

≥28

≥1,2

2 DF (240x115x113)

≥70

115

R

0,57

100

100

SXRL 10

≥6

≥ 0,7

10 DF (300x250x240)

≥70

250

R

0,43

100

100

SXRL 10

≥8

≥ 1,4

2 DF (240x115x113)

≥70

115

H

0,43

100

100

SXRL 10

≥ 12

≥ 1,4

2 DF (240x115x113)

SXRL 10

≥ 20

≥ 1,4

9 DF (380x175x240)

Blocco cavo in calcestruzzo alleggerito Hbl secondo EN 771-3

SXRL 10

≥ 2

≥ 1,2

(440x210x215)

Blocco cavo in calcestruzzo normale Hbn secondo EN 771-3

≥70

≥70

≥70

SXRL 10

≥10

≥ 1,4

9 DF (380x175x240)

≥70

175

H

0,57

100

100

SXRL 10

≥10

≥1,2

(440x210x215)

≥70

210

H

0,71

100

100

SXRL 10

≥2

≥ 1,6

(300x240x240)

≥70

240

H

0,17

100

100

SXRL 10

≥ 6

≥ 1,6

(300x240x240)

Blocco in calcestruzzo aerato autoclavato (AAC - calcestruzzo cellulare) secondo EN 771-4

SXRL 10

SXRL 10

SXRL 10

SXRL 10

≥2

≥2

≥3

≥3

≥4

≥4

≥6

≥6

(500x120x300)

(500x250x300)

(500x120x300)

(500x250x300)

(500x120x300)

(500x250x300)

(500x120x300)

(500x250x300)

≥70

≥70

SXRL 10

≥2

≥2

(500x120x300)

(500x250x300)

≥90

120 (175)

H

0,21 (0,32)

100

120

≥70

≥70

≥70

SXRL 10

≥3

≥3

(500x120x300)

(500x250x300)

≥90

120

H

0,32 (0,43)

100

120 (180)

SXRL 10

≥4

≥4

(500x120x300)

(500x250x300)

≥90

120 (175)

H

0,54 (0,89)

100

120

SXRL 10

≥6

≥6

(500x120x300)

(500x250x300)

≥90

120

H

0,89 (1,07)

120

120 (180)

1) Nelcalcolodelcaricoammissibilesonostaticonsideratiicoefficientiparzialidisicurezzaperlaresistenzadeimaterialieilcoefficienteparzialedisicurezzaperleazioniγ

L

=1,4.Unanco-

rante è considerato singolo se l’interasse minimo s

min

è in accordo alla tabella B4.1 della Valutazione Tecnica.

2) Èpossibileutilizzaregliinterassiminimi(ancorantiingruppo)oladistanzadalbordominimasoloriducendoilcaricoammissibile.Ilcontemporaneoutilizzodell’interasseminimoedella

distanza dal bordo minima non è consentito. Uno dei due valori minimi deve essere incrementato secondo le prescrizioni riportate nella Valutazione Tecnica.

3) Validoperazioniditrazione,ditaglioeobliqueconqualsiasiinclinazione.Percombinazionidiazioniditrazione,ditaglioemomentiflettenticonsultarelaValutazioneTecnica.Ivalori

ammissibili tra parentesi sono ottenuti adottando la corrispondente distanza dal bordo minima oppure lo spessore minimo tra parentesi.

4) ValidopervitigvzeA4.Perapplicazionidivitiinacciaiozincatoinambientiesterniènecessarioadottaredellemisurecontrol’umiditàcomeriportatonellaValutazioneTecnica.

5) H=Foraturaarotopercussione;R=Foraturaarotazione.

6) Valorivalidipertemperaturadelsupportofinoa+50°C(perilbreveterminefinoa80°C).Pertemperaturefinoa30°Cnellungotermineèpossibileincrementareicarichiammissibili.

317