VALVOLE PER RADIATORE / SERIE 30

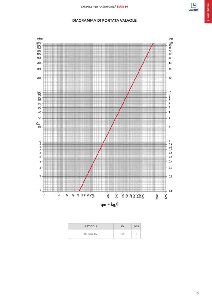
DIAGRAMMA DI PORTATA VALVOLE

ARTICOLI

Kv

POS

RS 159/A 1/2

1,65

1

55

1

V

A

L

V

O

L

E

R

A

D

I

A

T

O

R

E