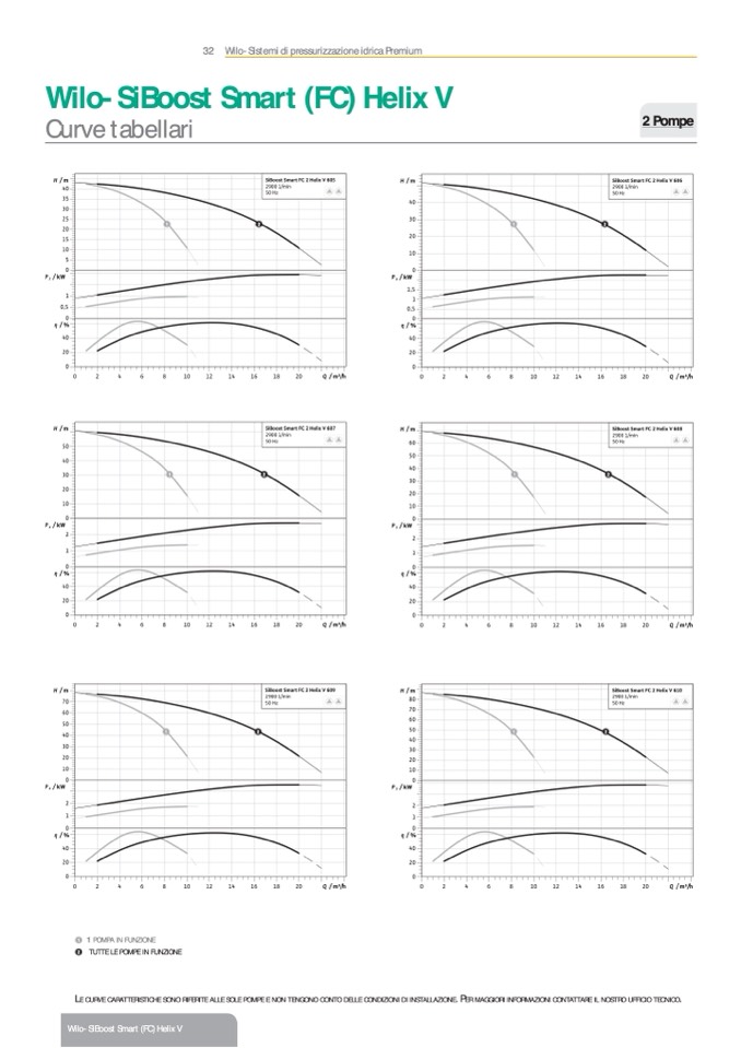
Curve tabellari

H/m

40

35

30

25

20

15

10

SiBoost Smart FC 2 Helix V 605

2900 1/min

50 Hz

H / m

40

30

2 Pompe

SiBoost Smart FC 2 Helix V 606

2900 1/min

50 Hz

P2 /kW

1

0,5

H / m

50

40

SiBoost Smart FC 2 Helix V 607

2900 1/min

50 Hz

H / m

60

50

SiBoost Smart FC 2 Helix V 608

2900 1/min

50 Hz

5

32 Wilo-Sistemi di pressurizzazione idrica Premium

Wilo-SiBoost Smart (FC) Helix V

1

2

1

2

20

10

0

0

P2 /kW

1,5

1

0,5

0

0

η/%

η/%

40

40

20

20

0

0

0

2

4

6

8

10

12

14

16

18

20

Q/m3/h

0

2

4

6

8

10

12

14

16

18

20

Q/m3/h

40

3

0

1

2

1

2

20

10

30

20

10

0

0

P2 /kW

η/%

η/%

40

40

20

20

0

0

0

2

4

6

8

10

12

14

16

18

20

Q/m3/h

H/m

70

60

50

40

30

20

10

SiBoost Smart FC 2 Helix V 609

2900 1/min

50 Hz

H / m

SiBoost Smart FC 2 Helix V 610

80

2900 1/min

2

1

2

1

0

0

1

2

70

60

50

1

2

40

30

20

10

0

0

P2 /kW

2

1

1

0

0

η/%

η/%

40

40

20

20

0

0

0

2

4

6

8

10

12

14

16

18

20

Q/m3/h

1

1 POMPA IN FUNZIONE

2

TUTTE LE POMPE IN FUNZIONE

P2 /kW

L

E CURVE CARATTERISTICHE SONO RIFERITE ALLE SOLE POMPE E NON TENGONO CONTO DELLE CONDIZIONI DI INSTALLAZIONE

. P

ER MAGGIORI INFORMAZIONI CONTATTARE IL NOSTRO UFFICIO TECNICO

.

Wilo-SiBoost Smart (FC) Helix V

P2 /kW

2

0

2

4

6

8

10

12

14

16

18

20

Q/m3/h

0

2

4

6

8

10

12

14

16

18

20

Q/m3/h

50 Hz